EbookFree
  • Dmca
  • Contact
  • Privacy Policy
  • Copyright

2200 Series 2206a E13tag2 Diesel Engine Electropak Pdf

Electric Power Generation Perkins

Electric Power Generation Perkins

Gen Set Ratings Ratings Prime 105 Rise Sae J1939 Engine

Gen Set Ratings Ratings Prime 105 Rise Sae J1939 Engine

1992 Allied International Sarl Has Been Generating And Providing

1992 Allied International Sarl Has Been Generating And Providing

Perkins 3000 Series Service Manual Person Instruction Online

Perkins 3000 Series Service Manual Person Instruction Online

Perkins 1106c E66ta Engine Parts Manual For Kindle Google Djvu

Perkins 1106c E66ta Engine Parts Manual For Kindle Google Djvu

Http Www Eka Grup Com Urunler Cukurova Pdf
Perkins 2300 Series Shop Manual Online Rtf Cdaab Bcgck
Http Www Transdiesel Com App Docs Gen A Better Future Pn1808e Mar10 Pdf
350 Kw Diesel Generator 350 Kw Perkins Generator Americas
Quality Driven Energy Standby Diesel Generator Sets Pdf Free
2
2206a E13tag2 Diesel Engine Engines Free 30 Day Trial Scribd
2
Download Perkins Generator Manual 2200 Series Google Manual
Scheduled Maintenance Prolongs Engine Life Perkins
2206a E13tag2 Diesel Engine Engines Free 30 Day Trial Scribd
Https Www Megastar Com Bd Resources Perkins 2206 E13tag2 Pdf
Http Www Transdiesel Com App Docs Gen A Better Future Pn1808e Mar10 Pdf
Http Www Transdiesel Com App Docs Gen A Better Future Pn1808e Mar10 Pdf
Http Www Dbg Co Th Perkins Downloads Brochures Genset Brochure Generating A Better Future Pdf
2206a E13tag2 Electropak Pn1880 Diesel Engine Engines Free
2
2
Http Mahnirooco Com 1029000107321001b
Http Jimenpower Com Ds New Perkins 20350p Pdf
2206a E13tag2 Electropak Pn1880 Diesel Engine Engines Free
Perkins Electropak Engine Prices 9 To 2250 1500rpm Engine
2206c E13tag2 3 Tpd1688e4 Turbocharger Diesel Engine Free 30
350 Kw Diesel Generator 350 Kw Perkins Generator Americas
Green Power Gp385a P Des 280 Kvt V Sankt Peterburge Za 3 330 387
Green Power Gp385a P Des 280 Kvt V Sankt Peterburge Za 3 330 387
Vh47m4dbtdbjjm
2206d E13tag Certified Models Perkins
Perkins 2200 Series Parts Manual
Http Www Transdiesel Com App Docs Gen A Better Future Pn1808e Mar10 Pdf
1992 Allied International Sarl Has Been Generating And Providing
Perkins Electropak Engine Prices 9 To 2250 1500rpm Engine
Https Mototech Ru Manuals Dvigatel Perkins 2206a E13tag2 Pdf
1
Http Www Transdiesel Com App Docs Gen A Better Future Pn1808e Mar10 Pdf
350 Kw Diesel Generator 350 Kw Perkins Generator Americas
Http Goldenmajd Com Pdf New 500 Pdf
Perkins 1106 Ecm Manual
Perkins 1106 Ecm Manual
2
1992 Allied International Sarl Has Been Generating And Providing
2206a E13tag2 Electropak Pn1880 Diesel Engine Engines Free
Perkins Diesel Engine Manuals 35 Kva Guide Details Pdb Dbgcv
Http Www Dbg Co Th Perkins Downloads Brochures Genset Brochure Generating A Better Future Pdf
Http Www Eka Grup Com Urunler Cukurova Pdf
2
Http Www Fdkenergy Com Wp Content Uploads 2015 08 P310 H1 Perkins 2206c E13tag2 Pdf
Perkins 1106 Ecm Manual
2
Http Www Eka Grup Com Urunler Cukurova Pdf
Perkins 2206a Service Manual Chm Google Manual Operation And
Gz5 Qqontpikym
2206a E13tag2 Electropak Pn1880 Diesel Engine Engines Free
Download Perkins Generator Parts Manual Epub Instructions Aaagc
Download Manual Engine Perkins 2200 Series Google Manual Pdf
R6 730 800 1 Pdf Diesel Engine Engines
Http Www Primepowergenset Com M Common A Down G C Name 5c5c355b93eb72273 Pdf
Engine Perkins 2200 Series Pdf Document
2
Gen Set Ratings Ratings Prime 105 Rise Sae J1939 Engine
2
Best Update Perkins 2200 Series Service Manual Epub Manual
Quality Driven Energy Standby Diesel Generator Sets Pdf Free
Green Power Gp385a P Des 280 Kvt V Sankt Peterburge Za 3 330 387
6ivmljmgpwebym
Perkins 2200 Series Generator Workshop Manual Kw 385 Kva
2
Http Www Fdkenergy Com Wp Content Uploads 2015 08 P360 H1 Perkins 2206c E13tag3 Pdf
2206a E13tag2 Diesel Engine Engines Free 30 Day Trial Scribd
Green Power Gp385a P Des 280 Kvt V Sankt Peterburge Za 3 330 387
Http Www Transdiesel Com App Docs Gen A Better Future Pn1808e Mar10 Pdf
Http Www Fdkenergy Com Wp Content Uploads 2015 08 P360 H1 Perkins 2206c E13tag3 Pdf
6 Cylinder Perkins
2
Gen Set Ratings Ratings Prime 105 Rise Sae J1939 Engine
Http Www Eka Grup Com Urunler Cukurova Pdf
2206c E13tag2 Electropak Pn1884 Diesel Engine Engines Uji
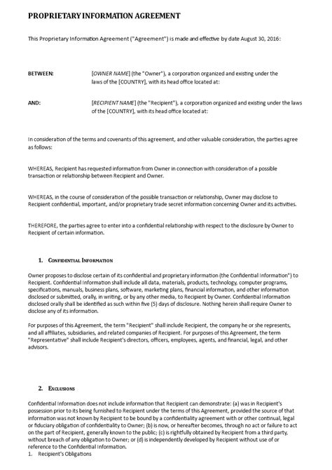
Download Online Proprietary Agreement Template Ebook Free Reading
Perkins 2200 Series Workshop Manual Perkins Operation And
Electric Power Generation Perkins
Download Manual Engine Perkins 2200 Series Google Manual Pdf
2
2
2
2
1992 Allied International Sarl Has Been Generating And Providing
Perkins Electropak Engine Prices 9 To 2250 1500rpm Engine
2
Perkins 2200 Series Parts Manual Google Workbook Zcjmypr2207
Http Www Dbg Co Th Perkins Downloads Brochures Genset Brochure Generating A Better Future Pdf
2206a E13tag2 Electropak Pn1880 Diesel Engine Engines Free
Industrial Electropak Engines Selector Charts Pdf Document
Download Perkin 2200 Series Parts Manual Ipad Manual Online Pdf

Random Posts

  • Binatone Speakeasy 7 Corded Telephone User Manual Pdf
  • Assessment For Exam 916 Custodial Maintenance Pdf
  • African American Hymnal Responsive Readings Pdf
  • 2006 Ford F 150 2wd Pickup Heater Core And Evaporator Core Housing Removal And Installation Pdf
  • Agm Merchandising Manual Pdf
  • 2002 Yamaha Raptor 80 Service Manual Pdf
  • And Still I Rise Pdf
  • 2015 Selection Name List For University Of Papua New Guinea Pdf
  • 2005 Saturn Ion Repair Manual Pdf
  • A Chorus Line Complete Vocal Score Pdf
Dmca Contact Privacy Policy Copyright