EbookFree
  • Dmca
  • Contact
  • Privacy Policy
  • Copyright

A Beginner S Guide To Scientific Method 4th Edition Pdf

138 Free Ebooks On User Experience Usability User Interface

138 Free Ebooks On User Experience Usability User Interface

A Beginner S Guide To Day Trading Online 2nd Edition Ebook By Toni

A Beginner S Guide To Day Trading Online 2nd Edition Ebook By Toni

Research Methodology Sage Publications Ltd

Research Methodology Sage Publications Ltd

Http Wtf Tw Ref Robbins Pdf

Http Wtf Tw Ref Robbins Pdf

I M Selling Ebook Modern Operating Systems 4th Edition By

I M Selling Ebook Modern Operating Systems 4th Edition By

12 Of The Best Research Methodology Textbooks For Research
Download Free Itil For Beginners The Complete Beginner S Guide
Social Research Methods Ebook
Https Free Ebook Pdf 6299c Firebaseapp Com Erdgvwoww How 20to 20write 20and 20publish 20a 20scientific 20paper 208th 20edition 20pdf Pdf
Pdf A Beginner S Guide To Scientific Method Semantic Scholar
A Beginner S Guide To Scientific Method By Stephen S Carey
Download Le Fusain Figure Paysage Par G Fraipont Pdf Free 2nd
Research Methodology For Novelty Technology
Https Www Researchgate Net Profile Paul Louangrath Post Is It Important To Run Stationarity Unit Root Test For Panel Data Attachment 59d637c3c49f478072ea4fcb As 3a273690653069317 401442264344600 Download A Beginner 27s Guide To Structural Equation Modeling 3rd Pdf
Introductory R A Beginner S Guide To Data Visualisation Statistical
Pdf Astronomy A Beginner S Guide To The Universe
Statistics 4th Edition By David Freedman Pdf Ebook Free Pdf
A Beginner S Guide To Scientific Method By Stephen S Carey
Linux Administration A Beginner S Guide Seventh Edition Wale
Gilimanuk Yanolix448 On Pinterest
Pdf Project Management Absolute Beginner S Guide Luis Granda
Https Uk Sagepub Com Sites Default Files Research Methods Catalogue 2017 Web 2 Pdf
Amazon Com A Beginner S Guide To Scientific Method 9781111305550
Jual Introduction To Electrodynamics 4th Edition David J Griffith
Amazon Com A Beginner S Guide To Scientific Method 9781111305550
Amazon Com A Beginner S Guide To Scientific Method 9781111305550
Pdf Kali Linux Wireless Penetration Testing Beginners Guide Third
Http Wtf Tw Ref Robbins Pdf
A Beginner S Guide To Discrete Mathematics 2nd Edition Pdf Free
Beginners Guide For Applied Research Process What Is It And Why
Essentials Of Computer Organization And Architecture 5th Edition
Solution Manual For Matlab A Practical Introduction To Programming
Https Uk Sagepub Com Sites Default Files Research Methods 2019 Online Catalogue Pdf
Database Systems A Practical Approach To Design Implementation
Pdf Prolib8 Networking A Beginner S Guide Sixth Edition
Kumpulan 1150 Link Ebook Pemrograman Gratis Sedot Semua
Pdf The Structure Of Scientific Revolutions And Its
Research Methodology For Novelty Technology
The Scientific Method Steps Examples Tips And Exercise Youtube
Https Www Ucentralasia Org Content Downloads Uca Ippa Op4 Beginners 20guide 20for 20applied 20research 20process Eng Pdf
Scientific Method Worksheets Pdf Scientific Method Worksheet
Sams Teach Yourself Sql In 10 Minutes 4th Edition Pdf Sql
Amazon Com A Beginner S Guide To Scientific Method 9781111305550
Algorithms Part I 4th Edition Free Download Pdf Price
Amazon Com A Beginner S Guide To Scientific Method 9781111305550
Carey S S A Beginner S Guide To Scientific Method Pdf Vse Dlya
Investigative Journalism Manuals
Pdf Java A Beginner S Guide 6th Edition Pdf Jimmy Ling
3 1 Psychologists Use The Scientific Method To Guide Their
Javascript A Beginner S Guide By John Pollock
Free Ebook Pdf How To Live A Guided Life First Steps Book 1
Java A Beginner S Guide Sixth Edition Inkling Ch Ebook By
Pdf Fourth Industrial Revolution Technological Drivers Impacts
Pdf Free Blender 2 8 The Beginner S Guide Author Get It Thursday
Cureus Developing A Beginner S Guide To Writing A Clinical Case
Pdf Ranjit Kumar Research Methodology A Step By Step G Abdul
Beginner S Guide To Reading Schematics Third Edition Stan
The Best Python Books Real Python
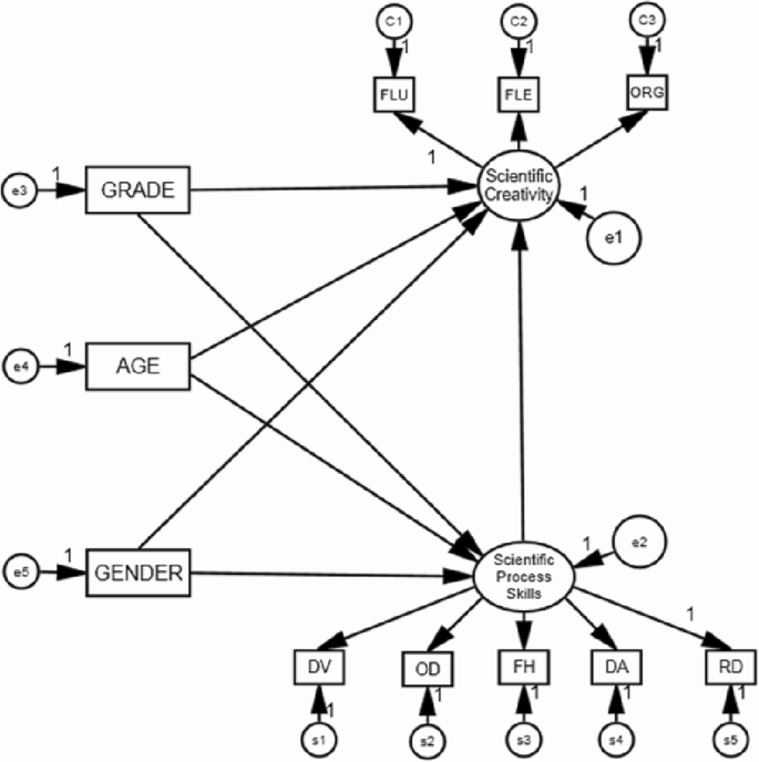
The Relationship Between Demographic Variables And Scientific
Digital Signal Processing 4th Edition Pdf By John G Proakis
Https Uk Sagepub Com Sites Default Files Research Methods 2018 Web 6 Pdf
12 Of The Best Research Methodology Textbooks For Research
Pdf Microsoft Sql Server 2016 A Beginner S Guide
Pdf Scientific And Technical Writing
Download These Free Gis Analytical And Programming Ebooks From
3nwio8sss6eh9m
Pdf A Beginners Guide To Applied Educational Research Using
All Books On Bookdown Org Bookdown
Download Pdf Of Linear Algebra And Its Applications 4th Edition
Pdf Fourth Industrial Revolution Technological Drivers Impacts
Pdf A Guide To Research Methodology For Beginners
Pdf A Beginner S Guide To Structural Equation Modeling By
Computer Forensics Infosec Pro Guide Beginner S Guide Pdf Kindle
The Relationship Between Demographic Variables And Scientific
Applied Numerical Methods With Matlab For Engineers And Scientists
Political Philosophy A Beginners Guide For Students And
7 Ideas For Teaching The Scientific Method The Science Penguin
100 Best Python Books For Beginners Bookauthority
Crime Scene To Court The Essentials Of Forensic Science Fourth
Principles Of Computer Security Fourth Edition Ebook By Greg
Https Www Who Int Ethics Review Committee Emro Ethics Dsa237 Pdf Ua 1
Free Textbooks From E International Relations E International
Download These Free Gis Analytical And Programming Ebooks From
Https Free Ebook Pdf 6299c Firebaseapp Com Erdgvwoww How 20to 20write 20and 20publish 20a 20scientific 20paper 208th 20edition 20pdf Pdf
Beginner S Guide To Reading Schematics Fourth Edition Mcgraw
How To Write A Logframe A Beginner S Guide Working In
Beginner S Guide To Reading Schematics Third Edition Pdf
Pdf A Beginner S Guide To Scientific Method Semantic Scholar
Introduction To Business Management New 11th Edition Sale
7 Ideas For Teaching The Scientific Method The Science Penguin
Javascript A Beginner S Guide Fifth Edition
Download These Free Gis Analytical And Programming Ebooks From
Pdf A Beginner S Guide To Scientific Method Semantic Scholar
Pdf A Beginner S Guide To Scientific Method Semantic Scholar
Java A Beginner S Guide Eighth Edition Herbert Schildt
Scientific Inquiry Springerlink
Download Ebook Databases A Beginner S Guide Pdf 007160846x
Amazon Com A Beginner S Guide To Structural Equation Modeling
Horine Project Management Absolute Beginner S Guide 4th Edition
The Relationship Between Demographic Variables And Scientific

Random Posts

  • Architectural Sheet Metal Manual Smacna Pdf
  • 2009 Hyundai Accent 1 6 Timing Marks Pdf
  • 6f35 Transmission Manual Pdf
  • Abap Certification C Taw12 71 Pdf
  • Iomega Hmnd2 User Manual Pdf
  • 2005 Hyundai Tucson Repair Manual Pdf
  • Abstract Algebra Theory And Applications By Thomas W Judson Solutions Pdf
  • Along These Lines 6th Edition Answers Pdf
  • Accounting 8th Edition Hoggett Pdf
  • Accounting For Dummies Pdf
Dmca Contact Privacy Policy Copyright