EbookFree
  • Dmca
  • Contact
  • Privacy Policy
  • Copyright

Academic Connections 3 Answer Key Pdf

Wordly Wise 3000 Book 3 Key 4th Edition 9780838877289

Wordly Wise 3000 Book 3 Key 4th Edition 9780838877289

Https Wac Colostate Edu Docs Books Involved Involved Pdf

Https Wac Colostate Edu Docs Books Involved Involved Pdf

Cc3 Resources Cpm Educational Program

Cc3 Resources Cpm Educational Program

Week 11 Making Connections Answer Key By Averil Bolster Flipsnack

Week 11 Making Connections Answer Key By Averil Bolster Flipsnack

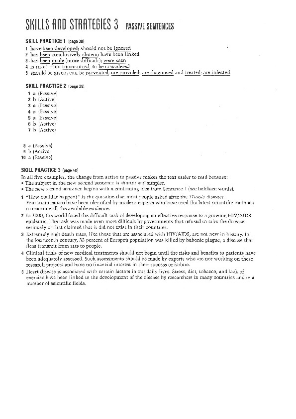
Making Connections Level 3 Teacher S Manual Skills And Strategies

Making Connections Level 3 Teacher S Manual Skills And Strategies

851 Questions With Answers In Academic Writing Science Topic
The Influence Of Motivational And Emotional Factors In
Https Www Cambridgeenglish Org Images Tkt Handbook Modules 1 3 Pdf
Https Www Donnabook Com Event Reference Room Vocabulary Connections Pdf
Https Wac Colostate Edu Docs Books Involved Involved Pdf
Openstax
Https Www Researchgate Net Profile Entedhar Sarhat Post What Do You Think Of Creative Ideas How To Provide A Context To Create It Attachment 5b17bd29b53d2f63c3d017cc As 3a634476564578305 401528282409537 Download 426483 Chapter 4 Innovation And Creativity Pdf
Https Wac Colostate Edu Docs Books Involved Involved Pdf
851 Questions With Answers In Academic Writing Science Topic
Week 12 Making Connections Answer Key By Averil Bolster Flipsnack
The 101 Hottest Edtech Tools According To Education Experts
Making Connections Level 3 Student S Book Skills And Strategies
Grey Workers The History Of Salt Designed To Last Reading
Algebra Connexus Connections Academy Course Hero
Download 3 Volumes Of Glencoe Mathematics Applications And
Resources Cambridge University Press
Cambridge Connection Social Studies Social Studies Cambridge
Pdf Social Media And Academic Performance Of Students
Match Headings Ielts Reading Practice Questions
Pin On Math Worksheet
Making Connections Level 3 Teacher S Manual Skills And Strategies
How To Write Research Paper And Get An A
3 Science Unit 1a Study Guide Answer Key Pdf Answer Key Sci6a
Encountering Christ In The Sacraments Answer Key Pdf
Pdf Academic Connections 4 Answer Key A Ac Ca Ad De Em Mi Ic C C
Reading Comprehension Wikipedia
Https Www Researchgate Net Profile Entedhar Sarhat Post What Do You Think Of Creative Ideas How To Provide A Context To Create It Attachment 5b17bd29b53d2f63c3d017cc As 3a634476564578305 401528282409537 Download 426483 Chapter 4 Innovation And Creativity Pdf
Https Wac Colostate Edu Docs Books Involved Involved Pdf
Pdf Social Media And Academic Performance Of Students
Grey Workers The History Of Salt Designed To Last Reading
Https Wac Colostate Edu Docs Books Involved Involved Pdf
Untitled
European Union
Making Connections Week 5 Answer Key By Averil Bolster Flipsnack
851 Questions With Answers In Academic Writing Science Topic
Program Free V59 Lcd Tv Driver Board 23 Kinds Of Jumper Tv
Making Connections Week 5 Answer Key By Averil Bolster Flipsnack
Aligarh Muslim University Search Result
Full Article Implications For Educational Practice Of The Science
Making Connections Keys Fashion Fashion Beauty Free 30 Day
Massive Open Online Course Wikipedia
Cbse Class 10th Hindi Question Paper 2020 Download Pdf Here
Toefl Practice Test Guide Free Toefl Sample Test Answers
Ielts Reading Recent Actual Test In 2018 With Answers Topic
Koha Plugin Ebsco Apps Cloud Services
Consideration Of The Evidence On Childhood Obesity For The
Chapter 16 Education Introduction To Sociology 1st Canadian
Making Connections Week 3 Answers
Pdf Business Result Advanced Student S Book Answer Key Helen
Messages 3 Teacher S Book
New Round Up 3 Answer Key Pdf
How To Create A Syllabus The Chronicle Of Higher Education
Https Encrypted Tbn0 Gstatic Com Images Q Tbn 3aand9gctovwtdjsh6btmoazq6dwwenvkvpnocima7c2mdwu E5cq6 7v Usqp Cau
Literacy Wikipedia
Contemporary Topics 3 Script And Answer Key Mafiadoc Com
Critical Thinking Wikipedia
Textbooks For Sustainable Development A Guide To Embedding
Https Www Researchgate Net Profile Entedhar Sarhat Post What Do You Think Of Creative Ideas How To Provide A Context To Create It Attachment 5b17bd29b53d2f63c3d017cc As 3a634476564578305 401528282409537 Download 426483 Chapter 4 Innovation And Creativity Pdf
Ncert Solutions For Class 12 Chemistry Chapter 3 Electrochemistry
K 12 Module In Tle Ict Grade 10 All Gradings
Math 00101idek Algebra 1 Colocam
Pdf Making Connections Through Texts In Language Teaching
Pdf Social Media And Academic Performance Of Students
Lesson Plan Grade 3 Lesson Lesson Plan
Ielts Recent Actual Test With Answers Volume 1
Pattern Of Inflammatory Diseases In Lymph Node Biopsy
The Church In History Answer Key Grades 9 12 Christianbook Com
Aligarh Muslim University Search Result
Scholastic Math The Real World Math Magazine Grades 6 9
English Book 4 Teacher 2015 2016
Cbse Class 10th Hindi Question Paper 2020 Download Pdf Here
Classroom Lessons Math Solutions
Kvs Pgt 23rd December 2018 Questions With Answers
Making Connections Level 3 Teacher S Manual Skills And Strategies
Workbook Full Blast Answers Pages 1 10 Text Version Anyflip
Ncert Solutions For Class 9 English Beehive Chapter 3 Rain On
Zaner Bloser Spelling Connections Grade 3 Student Edition
Http Www Oecd Org Education School 48727127 Pdf
Librarika Making Connections Level 3 Teacher S Manual Skills And
Week 9 Making Connections Answers By Averil Bolster Flipsnack
Of Kappa Kappa Gamma
The Fab Four Reciprocal Teaching Strategies
Pdf Chapter 3 Research Methodology And Research Method
English Level 3 Resuelto
Openstax
Home Connections Eng Pdf Second Edition Home Connections Grade
Aligarh Muslim University Search Result
Literacy Wikipedia
851 Questions With Answers In Academic Writing Science Topic
Https Wac Colostate Edu Docs Books Involved Involved Pdf
Https Www Cambridgeenglish Org Images 168150 Cambridge English Preliminary Teachers Handbook Pdf
Toefl Reading Practice Free Toefl Reading Test With Answers
2
Health And Wellbeing University Of Dayton Ohio
Aligarh Muslim University Search Result
Openstax

Random Posts

  • Arctic Cat 2015 Pantera 7000 Limited Arctic Cat Dealer Pdf
  • Atlas Copco Le8 Compressor Manual Pdf
  • 88 Toyota Pickup Manual Pdf
  • Advanced Techniques Of Clandestine Psychedelic Amphetamine Manufacture Pdf
  • Essentials Of Clinical Geriatrics Pdf
  • A Castle Of Sand A Shade Of Vampire 3 Pdf
  • Elementary Differential Equations And Boundary Value Problems 9th Edition Solutions Manual Pdf
  • A Weekend Alone Giantess Pdf
  • 2004 Ford Explorer Eddie Bauer Owners Manual 140 Pdf
  • Almas Perdidas After 03 Aaaoe Anna Todd Pdf Epub
Dmca Contact Privacy Policy Copyright