EbookFree
  • Dmca
  • Contact
  • Privacy Policy
  • Copyright

Airbrush Action November December 2006 Pdf

Amazon Com Infinitipro By Conair Spin Air Rotating Styler Hot

Amazon Com Infinitipro By Conair Spin Air Rotating Styler Hot

Us20140089241a1 System And Method For Intermachine Markup

Us20140089241a1 System And Method For Intermachine Markup

Https Www Cir Safety Org Sites Default Files Data Supplement W3 Dec 2018 Pdf

Https Www Cir Safety Org Sites Default Files Data Supplement W3 Dec 2018 Pdf

Airbrush Action Dec 2008 Zpnxy3q6zylv

Airbrush Action Dec 2008 Zpnxy3q6zylv

From Newbie To Professional Identity Building And Literacies In

From Newbie To Professional Identity Building And Literacies In

Index On Afghanistan December 2008 Graveyard Of Empires
2
Pdf Isolation And Partial Characterization Of The Pink And Blue
17dfvdfv By Rhbfgjydbb Issuu
Octane Nov Dec 2018 By Ensembleiq Issuu
Notablog Periodicals Archives
Airbrush Action Dec 2008 Zpnxy3q6zylv
Thermal Alternating Polymer Nanocomposite Tapnc Coating Designed
Https Pdfs Semanticscholar Org 2ffe 301de77bd0b9fdad92021a17142060c4bd90 Pdf
Pdf Spatial Variation In The Biochemical And Isotopic Composition
Airbrush Action Giant Archive Of Downloadable Pdf Magazines
Http Www Coastairbrush Com Prodimages Aba Fraserstencil14 Pdf
Airbrush Action Giant Archive Of Downloadable Pdf Magazines
Airbrush Action September October 1992 Giant Archive Of
Airbrush Action Dec 2008 Zpnxy3q6zylv
Http Www Coastairbrush Com Prodimages Aba Fraserstencil14 Pdf
Elevation Models For Geoscience Geological Society Special
Clyt Videos Dailymotion
Framing The Post 2015 Agenda Part Iii The Millennium
Best Top 10 Make Arabe List And Get Free Shipping 7iinb29i
How To Draw Manga Wikipedia
Gunpla Blog Paint On Plastic
Airbrush Action Giant Archive Of Downloadable Pdf Magazines
Kansas Banned Books List 2019 Prison Legal News
Airbrush Action Dec 2008 Adobe Photoshop Paintings Free 30
Pdf The Portrayal Of Opportunism Betrayal And Manipulation In
Complete Guide To 2019 Artist Grants Opportunities Artwork Archive
Recycling Of Yttria Stabilized Zirconia Waste Powders In Glazes
The Centre For Excellence In Developing Professionalism Opens At
Airbrush Action Giant Archive Of Downloadable Pdf Magazines
Pdf A Human Rights And Ethics Crisis Facing The World S Largest
Amazon Com Babylisspro Babnt178 Nano Titanium Rotating Hot Air
China And The Asean Economies Interdependence And Rivalry
Pdf Methods And Methodologies Investigating Gay Men S Body Image
Pdf Fabrication And Characterization Of Core Shell Nanofibers
Shading Blending Pt I Createx Colors
Http Www Culturaldiplomacy Org Academy Pdf Research Books Nation Branding Nation Branding Concepts Issues Practice Keith Dinnie Pdf
Http Www Dinosaurisle Com Documents Dinodiary2 Pdf
Pdf Governmental And Parliamentary Recognition Of The Genocides
Inside This Issue Sema Show A Suceess For House Of Kolor
Robotics Free Full Text Non Photorealistic Rendering
Airbrush Action Dec 2008 Adobe Photoshop Paintings Free 30
Amazon Com Master Airbrush G444 Set High Precision Detail Control
Airbrush Action Giant Archive Of Downloadable Pdf Magazines
Ffi Issue1 Sample Pages 1 38 Text Version Fliphtml5
Rural Living November December 2013 By Times Media Issuu
Airbrush Action Dec 2008 Zpnxy3q6zylv
Airbrush Action Dec 2008 Adobe Photoshop Paintings Free 30
2
Framing The Post 2015 Agenda Part Iii The Millennium
Pinstriping Amp Kustom Graphics Magazine May June 2012 Iss 32
Airbrush Action Giant Archive Of Downloadable Pdf Magazines
Airbrush Action Giant Archive Of Downloadable Pdf Magazines
Pdf Fabrication And Characterization Of Core Shell Nanofibers
Pdf Graphic Design Applications For Spatial Imagery And Examples
Pdf Real World Economics Review Robert Costanza Academia Edu
Frontiers Experimental Inoculation Of Coral Recruits With Marine
Otgv 2018 06 Nov Dec By Tower Publications Issuu
Pdf Ford Squandering Hegemony Draft As Of 31 January Brian Ford
Airbrush Action Dec 2008 Zpnxy3q6zylv
Cv Hdr Anglais Light Pdf Cnism
Airbrush Action Giant Archive Of Downloadable Pdf Magazines
2
Pdf Mind The Gap Synaesthesia And Contemporary Live Art Practice
Pdf Silicon Improves The Emergence And Sanity Of Rice Seedlings
Airbrush Action Dec 2008 Adobe Photoshop Paintings Free 30
Http Www Coastairbrush Com Prodimages Aba Fraserstencil14 Pdf
Pdf Mines And Signs Resource And Political Futures In Bangladesh
Airbrush Action Giant Archive Of Downloadable Pdf Magazines
Resident Evil Extinction Wikipedia
Airbrush Action Giant Archive Of Downloadable Pdf Magazines
Airbrush Action March April 2008 Dru Blair Foto Real Portrait
Us20140089241a1 System And Method For Intermachine Markup
Pdf The Berber Identity Movement And The Challenge To North
T World Nov Dec 06 23 Beautyserve Com
Pdf The New International Labour Studies
Airbrush Action Dec 2008 Adobe Photoshop Paintings Free 30
Airbrush Action Giant Archive Of Downloadable Pdf Magazines
Https Www Brookings Edu Wp Content Uploads 2016 06 12china Pdf
Amazon Com Gocheer Mini Airbrush Kit Dual Action Air Brush Pen
Airbrush Action Dec 2008 Adobe Photoshop Paintings Free 30
Airbrush Action March April 2008 Dru Blair Foto Real Portrait
Airbrush Action Dec 2008 Adobe Photoshop Paintings Free 30
2
Pdf Collagen Xii And Xiv New Partners Of Cartilage Oligomeric
Airbrush Action March April 2008 Dru Blair Foto Real Portrait
Airbrush Action Giant Archive Of Downloadable Pdf Magazines
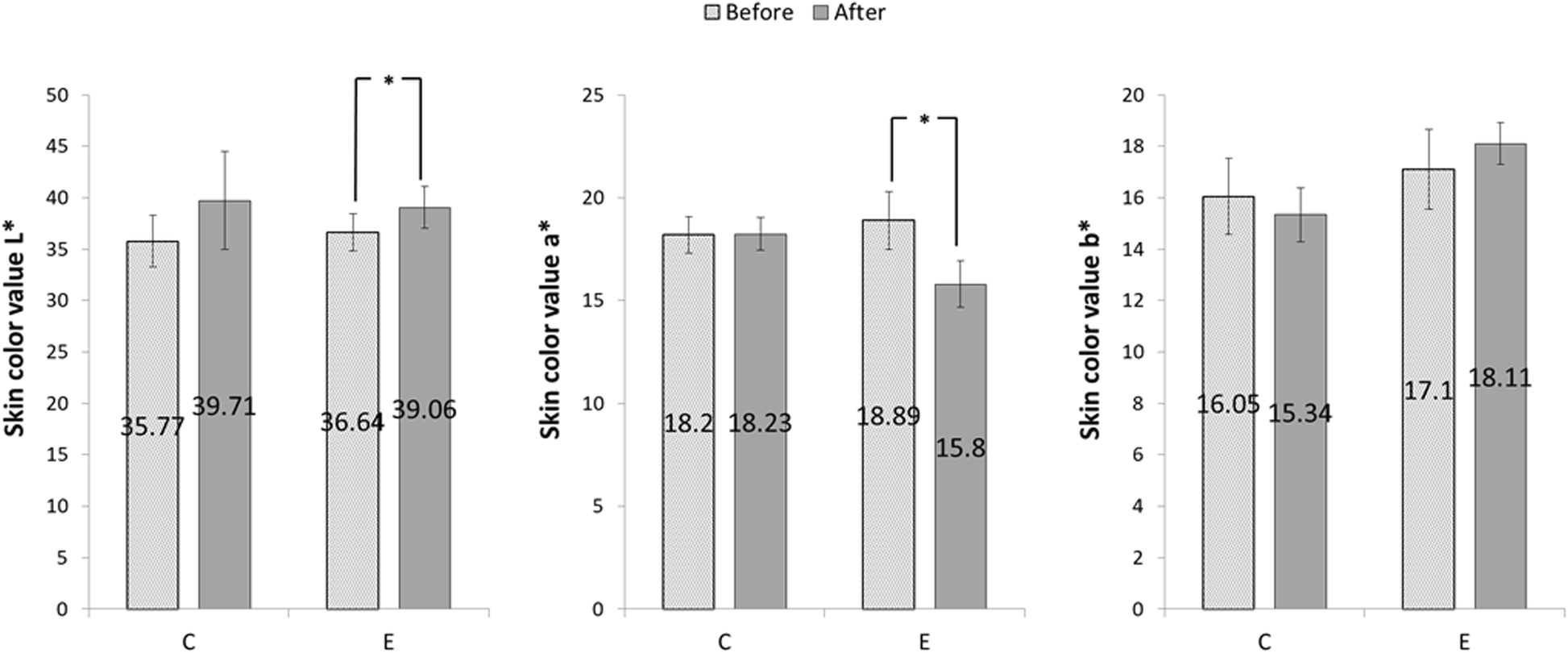
Verification Of Air Brush Effectiveness Using Cosmeceutical
Airbrush Action Dec 2008 Adobe Photoshop Paintings Free 30
2
Ffi Issue1 Sample Pages 1 38 Text Version Fliphtml5
Effect Of Nanotube Film Thickness On The Performance Of Nanotube
Top 10 Most Popular Airbrush Tattoo Gun List And Get Free Shipping
Airbrush Action Giant Archive Of Downloadable Pdf Magazines
Airbrush Action Giant Archive Of Downloadable Pdf Magazines

Random Posts

  • A Woman S Secret For Confident Living Pdf
  • 05 Yamaha Yfz 450 Service Manual Pdf
  • Ap Calculus Ab Sample Examination Iv Answers Pdf
  • Big Chicken Leslie Helakoski Lesson Plans Pdf
  • 1997 Ford F 250 Heavy Duty Owners Manual Pdf
  • 1997 Honda Civic Electrical Diagram Pdf
  • Fast Facts On False Teachings Pdf
  • American Indian Mythology Mythology Enslow Pdf
  • Hope And Help For Your Nerves Pdf
  • 2006 Suzuki Eiger 400 4x4 Repair Manual Pdf
Dmca Contact Privacy Policy Copyright