EbookFree
  • Dmca
  • Contact
  • Privacy Policy
  • Copyright

Alberta Security Training Program Manual Pdf

Alberta Security Guard Training

Alberta Security Guard Training

Security Training G4s Security Training Courses

Security Training G4s Security Training Courses

Alberta Driver S Abstract Consent Form Fill Out And Sign

Alberta Driver S Abstract Consent Form Fill Out And Sign

2016 2020 Form Kmg Prestige Op 202 Fill Online Printable

2016 2020 Form Kmg Prestige Op 202 Fill Online Printable

Become A Security Guard In Manitoba Canadian Academy Of Guard

Become A Security Guard In Manitoba Canadian Academy Of Guard

Getting Licensed Reca
Pdf Professional Doctorate In Security And Risk Management
Professional Security Knowledge Network Basic Security
Mine Financial Security Program
Archive The Use Of Private Security Services For Policing
Https Www Albertahealthservices Ca Assets Wf Eph Wf Eph Access Online Food Safety Basics Pdf
2
Https Open Alberta Ca Dataset 8afdb67c 38ce 4249 B1a4 D3fdc2a179ca Resource E79e1511 Cc8b 4f24 8bf5 C1c9ce4ccd95 Download Abst Particpants Manual Oct 2014 2 Pdf
Https Open Alberta Ca Dataset 698c1720 9dbf 44b2 9978 492b2a0f08cc Resource 6604778b 2c73 44bb 9487 3624d7131bd1 Download Sched A Examination Process Handout January 2015 1 Pdf
2
Argonuw8r97uzm
Manuals Toolkits And Guidance Resource Centre
Faq Bfe Alberta Works Fill Online Printable Fillable Blank
Http Www Transportation Alberta Ca Content Doctype276 Production Edmanual Pdf
Https Www Nadc Ca Media 1142 Ch119 Pdf
Mine Financial Security Program
2
Alberta Basic Security Guard Training Course Abst Security
17 Best Lioscaterar Images Osx Travel Directions School Nutrition
Https Open Alberta Ca Dataset 59932ac3 Cb4d 4b5b A040 E143c34f6ca7 Resource 3872c55f A338 4366 A7e4 Ca077b1869bc Download Public Security Peace Officer Program Policy And Procedure Manual Pdf
Ainp 010 Form Fill Out And Sign Printable Pdf Template Signnow
27 Best Online Safety Training Images Online Safety Training
Skills Investment Bursary Fill Out And Sign Printable Pdf
Security Guard Wikipedia
Become A Security Guard In Alberta Canadian Academy Of Guard
Security Guard Training Alberta Security Guard Training
Physiotherapy Alberta College Association The Movement
Http Ftp Lesaonline Org Attachments Manuals Alberta Willls And Estates Practice Manual 2016 Pdf
Protective Services Nait
Alberta Basic Security Training Course In Calgary Ab Columbia
Use Of Gaming Proceeds Aglc
Alberta Basic Security Guard Training Course Abst Security
Fall Protection Online Course Worksite Safety Now Available
Http Www Transportation Alberta Ca Content Doctype276 Production Edmanual Pdf
Concordia University College Of Alberta Master Of Information
Online Security Guard Courses
Aasp Alberta Association For Safety Partnerships
Professional Investigator Training Course In Calgary Ab Columbia
Home Legal Education Society Of Alberta
Water Safety Instructors Canadian Red Cross
Aasp Alberta Association For Safety Partnerships
Bowden Institution Wikipedia
Certified Protection Officer Cpo Program International
Https Open Alberta Ca Dataset 809b875b D8bb 4abe B7f1 Eef6641af7ab Resource 28b9c62a 833d 4060 Af62 8e80b5971d49 Download Abst Ait Licence Guidelines 1 Pdf
Getting Server Ready Bars Restaurants Etc Pdf Free Download
Ld9dnyonhttzum
Online Security Guard Courses
Professional Security Knowledge Network Basic Security
Https Aglc Ca Sites Aglc Ca Files 2019 01 2019 01 01 Lh Handbook Pdf
Alberta Basic Security Training Course In Calgary Ab Columbia
Health And Safety Program Sample I Ohs Safety Manuals Canada
Security Guard Training Alberta Security Guard Training
Https Www Mentalhealthcommission Ca Sites Default Files Peer Support Guidelines Pdf Pdf
Security Guard Training Alberta Security Guard Training
2
Alberta Basic Security Guard Training Course Abst Security
Https Open Alberta Ca Dataset 76d5d038 7eaf 4834 Bfaa 9262b97120bf Resource 78a4850f 2259 4bed B3d8 D6a4329dcde0 Download Ait Participant Manual Complete Sept 1 2012 1 Pdf
Getting Server Ready Bars Restaurants Etc Pdf Free Download
Https Www Albertahealthservices Ca Assets Wf Eph Wf Eph Access Online Food Safety Basics Pdf
Pdf Rapid Metagenomics Analysis Of Ems Vehicles For Monitoring
Certified Protection Officer Cpo Program International
Physiotherapy Alberta College Association The Movement
Security Guard Test Questions And Answers Youtube
Security Guard Free Practice Quiz 1 Marshal Security
Security Guard Practice Test With Answers Security Guard Jobs
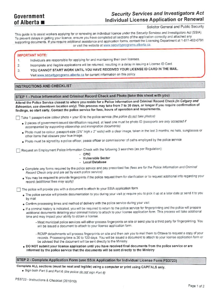
Individual License Application Renewal Form And Guide Ps3723
Pdf Depression Literacy In Alberta Findings From A General
Https Open Alberta Ca Dataset E85337d1 C497 413a Aa67 F4a309b8a1cf Resource 388370a7 05ac 47d1 9159 D18b5c61f017 Download Ssia Policy Manual 4 0 Amended 2015 2 Pdf
Concordia University College Of Alberta Master Of Information
Ama Class 7 Learners Licence Ama
Https Azslide Com Court Of Queen S Bench Costs Manual 59efc4da1723dd0fbbba89b6 Html
2
Aasp Alberta Association For Safety Partnerships
Cyber Security In Person Training Events A Courses Cyber Ranges
Orientation Manual
Alberta Basic Security Training Abst Tipofspearinc 2
International Association For Healthcare Security And Safety
Alberta Basic Security Guard Training Course Abst Security
Home Legal Education Society Of Alberta
Https Cloudfront Ualberta Ca Media Engineering Departments Department Of Mechanical Engineering Graduate Gradprogrammanual 2017 09 01 Pdf
Pdf Reforming The Canadian Security State The Royal Canadian
Ama Class 7 Learners Licence Ama
Renew Your Security Guard Licence
Alberta Basic Security Guard Training Course Abst Security
Health And Safety Program Sample I Ohs Safety Manuals Canada
Alberta Basic Security Guard Training Course Abst Security
Security Training Retail Security Training Manual
Online Security Guard Courses
Aasp Alberta Association For Safety Partnerships
Driver S Licences In Canada Wikipedia
Alberta Basic Security Training Abst
Security Guard Training Alberta Security Guard Training
Security Guard Training Alberta Security Guard Training
Alberta Basic Security Training Course In Calgary Ab Columbia
Security Guard Training Alberta Security Guard Training

Random Posts

  • Advanced Optical Communication Systems Networks Answers Pdf
  • 2 Food Plan Comprehensive Elimination Diet Pdf
  • Applied Pharmaceutics In Contemporary Compounding Pdf
  • Fast Facts On False Teachings Pdf
  • Answers To Inquiries Into Chemistry Pdf
  • Elements Of The Theory Of Computation Solution Manual Pdf
  • 4600 Ford Tractor Repair Manual Pdf
  • Ati Gerontology Final Pdf
  • Achiever Assessment Sample Test Pdf
  • Asq Auditing Handbook 4th Edition Pdf
Dmca Contact Privacy Policy Copyright