EbookFree
  • Dmca
  • Contact
  • Privacy Policy
  • Copyright

Answer Key For Cengage Elementary Statistics Book Pdf

2

2

Essentials Of Statistics 5th Edition

Essentials Of Statistics 5th Edition

Http Fac Ksu Edu Sa Sites Default Files Probability And Statistics For Engineering And The Sciences Pdf

Http Fac Ksu Edu Sa Sites Default Files Probability And Statistics For Engineering And The Sciences Pdf

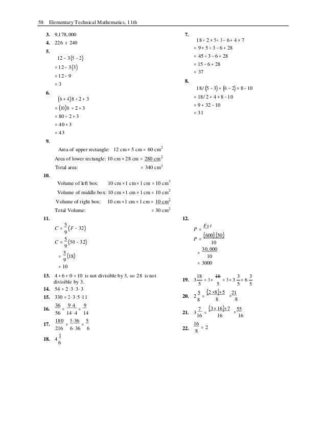
Elementary Technical Mathematics 11th Edition Ewen Solutions Manual

Elementary Technical Mathematics 11th Edition Ewen Solutions Manual

Probability And Statistics Problems And Solutions Pdf

Probability And Statistics Problems And Solutions Pdf

Download Workshop Statistics Second Edition Answers Topic 15
Amazon Com Mind On Statistics Standalone Book 9781285463186
Pdf Elementary Statistics A Step By Step Approach Ebook Uij7hyiuj
National Geographic Learning Catalogue 2019 By Cengage Brasil
Dyka1nx T Bfem
Business Statistics Sp Gupta Pdf Free Download
Pdf Full Solutions Manual Mark Rain Academia Edu
Https Www Bgs Org Uk Sites Default Files Content Attachment 2017 11 30 Research 20methods 20and 20statistics 20by 20sherri 20l 20jackson Pdf
Business English 9780357033784 Cengage
Cengage Learning National Geographic Learning Elt Catalogue
Business Statistics Sp Gupta Pdf Free Download
Amazon Com Cengage Advantage Books Basic Statistics For The
Https Www Cdschools Org Cms Lib04 Pa09000075 Centricity Domain 203 Understandable Statistics 20book Pdf
Pin On Solutions Manual Download
Https Gtu Ge Agro Lib Pagano 20r R 20understanding 20statistics 20in 20the 20behavioral 20scien Pdf
Https Encrypted Tbn0 Gstatic Com Images Q Tbn 3aand9gcqbunmtmrxre9rgrmg5xjawcefuthc0r5nkktyztysvthqo8a4v Usqp Cau
Pdf Examining Student Perception Of An Open Statistics Book
Xcawmc2wrevcqm
Elementary Statistics 11th Edition Cengage
Essentials Of Financial Management 3rd Edition Brigham Solutions Manu
Chemistry For Engineering Students 9781285199023 Cengage
How To Get Answers For Any Homework Or Test Youtube
Elementary Statistics Picturing The World 7th Edition Pearson
Introduction To Probability And Statistics Thirteenth Edition
49 Best Solutions Manual Download Images Test Bank Solutions
An Introduction To Language 9781337559577 Cengage
Business Statistics Sp Gupta Pdf Free Download
Student Solutions Manual For Johnson Kuby S Elementary Statistics
Http Fac Ksu Edu Sa Sites Default Files Probability And Statistics For Engineering And The Sciences Pdf
Elementary Statistics 60 Textbooks Zookal
Elementary Statistics Student Solution Manual Edition 11 By
Business English 9781305499867 Cengage
Statistics For The Behavioral Sciences Pdf Free Download
Cengage Mindtap Answers Pdf Free Download
Rice Mathematical Statistics And Data Mathematical Statistics And
Microeconomics 12th Edition Michael Parkin Solutions Manual
Elementary Statistics Exam Answers Statistics Exam Answers
Solution Manual For Probability And Statistics For Engineers And
Mathematics For Elementary School Teachers 6th Edition Bassarear
Amazon Com Elementary Statistics 13th Edition 9780134462455
Pin On Books
Statistics For The Behavioral Sciences Mindtap Course List 10th
Elementary Statistics 60 Textbooks Zookal
Calculus Of A Single Variable 11th Edition Larson Solutions Manual
Pin On Solution Manual For Accounting Information Systems 8th
2
An Introduction To Programming With C 9781285860114 Cengage
Elementary Statistics Exam Answers Statistics Exam Answers
Pdf Classroom Teaching Skills Thư Nguyễn Cẩm Academia Edu
Http Prairiestate Edu Assets Global Mathematics Pdf Textbooklistfall2018 Pdf
Essentials Of Modern Business Statistics With Microsoft Office
Cengage Mindtap Answers Pdf Free Download
Statistics For The Behavioral Sciences Mindtap Course List 10th
1
Cengage Mindtap Answers Pdf Free Download
Cengage Learning National Geographic Learning Elt Catalogue
Cengage Mindtap Answers Pdf Free Download
Pdf Basic Statistics For The Behavioral Sciences
Statistics For Business And Economics 9781473768451 Cengage
Pdf Stationen Ein Kursbuch Fur Die Mittelstufe By Augustyn
Openstax
Mafiadoc Com Business Statistics Sp Gupta Mybooklibrarycom
Chemistry 111 Lab Manual Answers Cengage Learning Cengage
Download Anderson Sweeney Williams Statistics For Business And
Student Solutions Manual Robert R Johnson Patricia J Kuby
Elementary Statistics Exam Answers Statistics Exam Answers
Complete Student Key Answers To Reinforcement Exercises For
49 Best Solutions Manual Download Images Test Bank Solutions
Dld5 Xcgtrjutm
1
Dnp Ozhvghhsrm
Mafiadoc Com Business Statistics Sp Gupta Mybooklibrarycom
Https Dinus Ac Id Repository Docs Ajar Ethics In Information Technology2c 5th Ed 0 Pdf
Mefx9w3yfelxbm
Download Elementary Statistics 5th Edition Text Only Ipad
Solution Manual Probability And Statistics For Engineers A
Elementary Statistics 60 Textbooks Zookal
Http Zu Edu Jo Uploadfile Library E Books Files Libraryfile 17113 11 Pdf
Pdf An Evaluation Of University World Geography Textbook
Pdf Introductory Statistics Textbooks And The Gaise
Educational Management Wikipedia
Statistics Learning From Data 1st Edition Cengage
Https Www Springer Com Cda Content Document Cda Downloaddocument Student Solutions Petters Dong Pdf Sgwid 0 0 45 1610637 P179932654
49 Best Solutions Manual Download Images Test Bank Solutions
Solutions Manual For Elementary Technical Mathematics 11th Edition By
Student Solutions Manual For Use With Mathematics In Our World 1st
Cmnqqznd3caeim
Elementary Statistics Looking At The Big Picture Available 2011
Http Galaxy Ustc Edu Cn 30803 Zhangwen Biostatistics Fundamentals Of Biostatistics 8th Edition Pdf
Introduction To Probability And Statistics 9781133103752 Cengage
Cengage Mindtap Answers Pdf Free Download
Cengage Mindtap Answers Pdf Free Download
Statistics Learning From Data 2nd Edition 9781337558082 Cengage
Elementary Statistics 60 Textbooks Zookal
Textbook Solutions And Answers Chegg Com
Reading Explorer Intro By Cengage Brasil Issuu

Random Posts

  • Alfred S Essentials Of Jazz Theory Teacher S Answer Key Book 3 Cds Pdf
  • Aramco Project Execution Plan Pdf
  • An Introduction To Sociolinguistics 3rd Edition Learning About Language Pdf
  • Basic Sciences In Ophthalmology A Self Assessment Text Pdf
  • Adrianne Byrd Unbreak My Hear Doc Up Com Pdf
  • Bimestriel Suppl233ment Aux Nouvelles De La Boulangerie Pdf
  • Analyze Anything Pdf
  • Billofsaleboat Pdf
  • 98 Plymouth Breeze Owners Manual Pdf
  • Api Gravity Temperature Correction Table 5a Pdf
Dmca Contact Privacy Policy Copyright