EbookFree
  • Dmca
  • Contact
  • Privacy Policy
  • Copyright

Applications Of Definite Integrals In Real Life Pdf

Jee Main Integral Calculus Important Questions

Jee Main Integral Calculus Important Questions

Properties Of Definite Integrals

Properties Of Definite Integrals

Introduction To Integration

Introduction To Integration

6 Applications Of Integration Mathematics Libretexts

6 Applications Of Integration Mathematics Libretexts

Integral Wikipedia

Integral Wikipedia

Http Www Math Odu Edu Jhh Volume 1 Pdf
Cbse Notes Class 12 Maths Definite Integrals And Its Application Aglasem Schools
What Are Some Real Life Applications Of Integration And Differentiation Quora
Multiple Integral Wikipedia
Https Ocw Mit Edu Ans7870 Resources Strang Edited Calculus Calculus Pdf
Https Www Sac Edu Facultystaff Homepages Majidkashi Pdf Math 150 Bus Calculus Pdf
Home Tools Exarn Winter2020 C Sign In De Shar Chegg Com
The Definite Integral And Its Applications Integral Volume Free 30 Day Trial Scribd
Applications Of The Definite Integral U2013 Area And Arc Length Pdf Calculus Applications Of The Definite Integral Area And Arc Length Areas Questions 1 Course Hero
Pdf Visualizing In Polar Coordinates With The Geogebra Francisco Regis Vieira Alves Teacher Digital Influencer Academia Edu
Solved 1 Point Get Help Entering Answers See A Similar Chegg Com
Integral Wikipedia
Course Syllabus Ap Calculus Pdf Luther High School
Introduction To Integration
Integration In Maths Definition Formulas And Types
Https Sydney Edu Au Content Dam Students Documents Mathematics Learning Centre Calculus Study Guide Pdf
Pdf Engineering Mathematics With Examples And Applications
3
Cbse Notes Class 12 Maths Definite Integrals And Its Application Aglasem Schools
Pdf The Multivariable H Function And The General Class Of Srivastava Polynomials Involving The Generalized Mellin Barnes Contour Integrals Dr Dinesh Kumar Academia Edu
Ch 7 Applications Of Definite Integrals Ms Neacs Website
Https Ocw Mit Edu Ans7870 Resources Strang Edited Calculus Calculus Pdf
Pdf Applications Of The Definite Integral Bank Duangmorakot Academia Edu
Solved Applications Of The Definite Integral Ex1 V1 Find Chegg Com
Applications Of The Definite Integral Volume And Surface Area Pdf Calculus Applications Of The Definite Integral Volume And Surface Area Volume Course Hero
Calculus In Real Life
Integration Formulas Trig Definite Integrals Class 12 Pdf
Pdf Numerical Integration With Geogebra In High School
Ncert Solutions For Class 12 Maths Pdf 2020 21 Download Chapter Wise Solutions
Calculus In Real Life Differentiation And Integration
Cbse Notes Class 12 Maths Definite Integrals And Its Application Aglasem Schools
Multiple Integral Wikipedia
Multiple Integral Wikipedia
Integration Formulas Trig Definite Integrals Class 12 Pdf
Cbse Notes Class 12 Maths Definite Integrals And Its Application Aglasem Schools
Integration Formulas Trig Definite Integrals Class 12 Pdf
Antiderivatives And Indefinite Integrals Video Khan Academy
Https Encrypted Tbn0 Gstatic Com Images Q Tbn 3aand9gcrftfa9k0pxmskoci6dmfzneee4qccggeckhpmjegs I9blq0hs Usqp Cau
Ap Calculus Ab Pdf
Properties Of Definite Integrals
Pdf Applications Of The Definite Integral In Geometry Science And Engineering Exercise Set 7 1 Luiz De Oliveira Academia Edu
Calculus In Real Life
Integration
Introduction To Integration
Calculus In Real Life Differentiation And Integration
Http Www Stat Wisc Edu Ifischer Calculus Pdf
Calculus In Real Life Differentiation And Integration
Integral Calculus Reference Sheet 1 Page Pdf Best Thing In My Life Right Now Calculus Math Formulas Math Help
Pdf University Of The Philippines Manila College Of Arts And Sciences Department Of Physical Sciences And Mathematics Mathematical And Computing Sciences Unit Course Code Math 73 Course Title Fundamentals Of Analysis 1
Pdf Studentsdifficulties With Application Of Definite Integration 1 Enver Tatar Academia Edu
Definite Integral Calculus Examples Integration Basic Introduction Practice Problems Youtube
Calculus What Is The Difference Between Differentiation And Integration Quora
Cbse Syllabus For Class 12 Maths 2019 2020 Download Pdf
Integral Wikipedia
Pdf Liouville And Riemann Liouville Fractional Derivatives Via Contour Integrals
Calculus Methods Pdf Calculus Calculus Notes Calculus 2
Gaussian Integral Wikipedia
Https Encrypted Tbn0 Gstatic Com Images Q Tbn 3aand9gcsdjgrzbgobdrw2yxlpolom5y0mkkfjnsqyfw Usqp Cau
Https Ocw Mit Edu Ans7870 Resources Strang Edited Calculus Calculus Pdf
Cbse Notes Class 12 Maths Definite Integrals And Its Application Aglasem Schools
Pdf Implementation Of Lesson Study On Integral Calculus Course Erwin Harahap Academia Edu
Applications Of Definite Integrals Pdf Integral Calculus Free 30 Day Trial Scribd
Calculus In Real Life
Pdf Chapter 6 Applications Of Definite Integrals 6 1 Volumes By Slicing And Rotation About An Axis Raja Qammer Academia Edu
Integration Formulas Trig Definite Integrals Class 12 Pdf
How Is Calculus Used In Everyday Life Toppr Bytes
Integration Formulas Trig Definite Integrals Class 12 Pdf
Volume Of Solids Of Revolution Pdf Sce Sev 4103 Calculus Application Of Definite Integral Volume Of Solids Of Revolution 1 Volume Of Solids Of Course Hero
Https Encrypted Tbn0 Gstatic Com Images Q Tbn 3aand9gcqwtypqu82hbdezsb 4jbewjs6deybhvf Yx778bm3osurdae8o Usqp Cau
Ncert Solutions For Class 12 Maths Chapter 7 Integrals Free Pdf
Calculus Wikipedia
Http Www Stat Wisc Edu Ifischer Calculus Pdf
Definite Integral From Wolfram Mathworld
Introduction To Integration
Calculus In Real Life Differentiation And Integration
Calculus Lesson 15 Relation Between Differentiation And Integration Don T Memorise Youtube
Https Www Sac Edu Facultystaff Homepages Majidkashi Pdf Math 150 Bus Calculus Pdf
Basic Integration Problems Youtube
12 Class Maths Notes Chapter 8 Application Of Integrals Free Pdf Quick Revision Application Of Integrals Notes Class 12 Maths Gyan Study Point
Calculus 2 Quickstudy Fichier Pdf
Integrals Class 12 Formulas Pdf With Notes Vidyakul
Pdf Chapter 5 Applications Of Definite Integral 5 1 Area Between Two Curves Monster 97 Academia Edu
Math Nots For Class 12 Download Pdf Application Of Integrals Chap
Textbook Calculus Online Textbook Mit Opencourseware
Gaussian Integral Wikipedia
Chapter 02 Definite Integrals Applications Pdf Document
Trapezoidal Rule
Integration Formulas Pdf Download Trig Definite Integrals Properties
1
Concise Modular Calculus 75 97 Definite Integrals Of Multivariable Functions Youtube
Integral Wikipedia
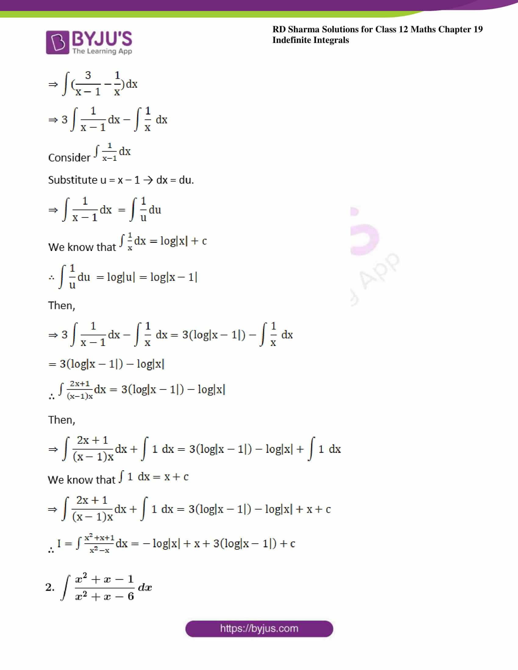
Rd Sharma Solutions For Class 12 Maths Chapter 19 Indefinite Integrals Exercise 19 20 Download Free Pdf
Pdf Exact Definition Of Mathematics
Http Www Stat Wisc Edu Ifischer Calculus Pdf
Integration Formulas Trig Definite Integrals Class 12 Pdf
Integrals Class 12 Formulas Pdf With Notes Vidyakul
Introduction To Integration

Random Posts

  • 2006harley Fxd Dyna Service Manual Pdf
  • 2011 Ford Edge Limited Sirius Radio Problems Pdf
  • Bfw Publishers Ap Statistics Test 11b Answers Pdf
  • Are We Rome The Fall Of An Empire And The Fate Of America Pdf
  • Audi S5 Fuse Box Location Pdf
  • A History Of Adoption In England And Wales 1850 1961 Pdf
  • Hyundai Xg350 Repair Manual Pdf
  • Biochemistry A Short Course Test Bank Pdf
  • Best Favorite Brand Name Recipes Pdf
  • Algorithms Sedgewick Solutions Manual Pdf
Dmca Contact Privacy Policy Copyright