EbookFree
  • Dmca
  • Contact
  • Privacy Policy
  • Copyright

Applied Statistics Probability Engineers 6th Edition Solutions Pdf

Chapter 4 Applied Statistics And Probability For Engineers Ppt

Chapter 4 Applied Statistics And Probability For Engineers Ppt

957 Questions With Answers In Applied Statistics Science Topic

957 Questions With Answers In Applied Statistics Science Topic

Http Julio Staff Ipb Ac Id Files 2015 02 Ross 8th Ed English Pdf

Http Julio Staff Ipb Ac Id Files 2015 02 Ross 8th Ed English Pdf

How To Get Canadian Business And The Law Canadian 6th Edition

How To Get Canadian Business And The Law Canadian 6th Edition

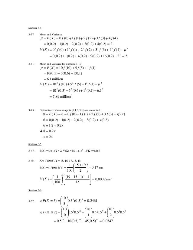
Solutions Chapter 3 Applied Statistics And Probability For

Solutions Chapter 3 Applied Statistics And Probability For

Http Doverdhs Ss5 Sharpschool Com Userfiles Servers Server 7591927 File Larson Farber 20elementary 20statistics 20picturing 20the 20world Pdf
An Enhanced Artificial Bee Colony Algorithm With Solution
Full Article Statistics For Chemistry Students How To Make A
Pdf Solution Manuals Electrical Engineering Salvatore Crisanto
Applied Statistics And Probability For Engineers Solution Montgomer
Https Encrypted Tbn0 Gstatic Com Images Q Tbn 3aand9gcqzjsr6jinpfcrsmgvba3b20np4s0xka24ccbiif 8jk0kdebc9 Usqp Cau
Https Cnx Org Exports 7c25472c 19f0 413a A561 9168925edd9d 4 1 Pdf Elementary Statistics 4 1 Pdf
Engineering Wikipedia
Applied Statistics And Probability For Engineers 6th Edition
Physics For Scientists And Engineers 6th Edition Solutions Tipler
Solution Manual Quality Control 5th Edition Montgomery
Probability Amp Statistics For Engineers Amp Scientists 9th
Applied Statistics And Probability For Engineers Solution Montgomer
Https Www Statsref Com Statsrefsample Pdf
Http Fac Ksu Edu Sa Sites Default Files Probability And Statistics For Engineering And The Sciences Pdf
Textbook Solutions And Answers Chegg Com
Https Cran R Project Org Doc Contrib Seefeld Statsrbio Pdf
Textbook Solutions And Answers Chegg Com
Applied Statistics And Probability For Engineers 6th Solution
Statistics For Engineering And The Sciences 6th Edition Solution
Http Fac Ksu Edu Sa Sites Default Files Probability And Statistics For Engineering And The Sciences Pdf
Solutions To Applied Statistics And Probability For Engineers
Solutions To Applied Statistics And Probability For Engineers
Pdf Solutions To Introduction To Electric Circuits Svoboda Dorf
Applied Statistics And Probability For Engineers Solution Manual
Physics For Scientists And Engineers 6th Edition Solutions Tipler
Probability Amp Statistics For Engineers Amp Scientists 9th
Https Dinus Ac Id Repository Docs Ajar Sommerville Software Engineering 10ed Pdf
Solution Manual For Title Applied Statistics And Probability For
Applied Statistics And Probability For Engineers 6th Edition
Http Elektron Pol Lublin Pl Muratm Files Decoursey Excel Statistics And Probability For Engineering Applications Pdf
Applied Statistics And Probability For Engineers 6th Edition
Matlab An Introduction With Applications 6th Edition Wiley
Manual Solution Probability And Statistic Hayter 4th Edition
Physics For Scientists And Engineers 6th Edition Solutions Tipler
How To Get Canadian Business And The Law Canadian 6th Edition
Pdf Probability And Mathematical Statistics
Solution Manual Quality Control 5th Edition Montgomery
Risk Management Wikipedia
Montgomery Applied Statistics And Probability For Engineers 5e
Applied Statistics And Probability For Engineers Solution Montgomer
Applied Statistics And Probability For Engineers Solution Montgomer
Trading Systems And Methods 6th Edition Wiley
Applied Statistics And Probability For Engineers Solution Manual
Applied Statistics And Probability For Engineers Solution Montgomer
Applied Statistics And Probability For Engineers 6th Edition
The Practice Of Statistics 4th Edition
Chapter 4 Applied Statistics And Probability For Engineers Ppt
Introductory Econometrics 9781305270107 Cengage
Probability Amp Statistics For Engineers Amp Scientists 9th
Introduction To The Practice Of Statistics 9th Edition
Applied Statistics And Probability For Engineers Solution Montgomer
Microelectronic Circuits Oxford Series In Electrical Computer
Solution Manual Probability
Applied Statistics And Probability For Engineers 5th Edition
Solutions To Applied Statistics And Probability For Engineers
Probability And Statistics Problems And Solutions Pdf
2
Normal Density Functions An Overview Sciencedirect Topics
Solved And Probability Solutions Manual Applied Statistic
Http Www R 5 Org Files Books Computers Algo List Statistics Probability Sheldon M Ross Introduction To Probability And Statistics En Pdf
Engineering Statistics 6th Edition Montgomery Solutions Manual
Https Encrypted Tbn0 Gstatic Com Images Q Tbn 3aand9gct7odgnswrbc8lzrbd9zacrl4gqb5nhal1bvf Ullk6upiusuwx Usqp Cau
Download Applied Statistics Probability For Engineers Solution
Applied Statistics And Probability For Engineers 6th Edition
Applied Statistics And Probability For Engineers 6th Edition
Https Www Statsref Com Statsrefsample Pdf
Principles Of Highway Engineering And Traffic Analysis 6th
Engineering Statistics Montgomery Solutions Manual Guidebook
Advanced Engineering Mathematics Zill Dennis G 9781284105902
Pdf Fundamentals Of Corporate Finance Brealey 7th Edition
Https Www Springer Com Cda Content Document Cda Downloaddocument Carltondevore Sm For Students Pdf Sgwid 0 0 45 1602082 P180570721
Pdf Solution Manual Mathematical Statistics With Applications 7th
Testbanks Net Test Bank And Solution Manual Resources For All
Engineering Statistics Textbook And Student Solutions Manual 4th
Http Endustri Eskisehir Edu Tr Ipoyraz Tky302 Icerik Text 20book Montgomery 6th 20edition Pdf
Amazon Com Probability And Statistical Inference 9th Edition
Pdf Quantitative Analysis For Management Render Stair Hanna 10th
Applied Statistics And Probability For Engineers Solution Montgomer
Recsolch02a Applied Statistics And Probability For Engineers 6th
Https Www Springer Com Cda Content Document Cda Downloaddocument Student Solutions Petters Dong Pdf Sgwid 0 0 45 1610637 P179932654
Probability Amp Statistics For Engineers Amp Scientists 9th
Applied Statistics And Probability For Engineers 6th Solution
Johnson Wichern Applied Multivariate Statistical Analysis 6th
Applied Statistics And Probability For Engineers Solution Montgomer
Https Encrypted Tbn0 Gstatic Com Images Q Tbn 3aand9gcrnvbwxq6ndibtnrbokvj790mfbkkl9rc3wrwppc0emkccu3fkk Usqp Cau
Introduction To Statistical Quality Control 6th Edition Solution
Pdf Elementary Statistical Methods
Physics For Scientists And Engineers 6th Edition Solutions Tipler
Applied Statistics And Probability For Engineers 6th Edition
Pdf Mechanical Engineering Solutions Salvatore Crisanto
Solutions To Applied Statistics And Probability For Engineers
Applied Statistics And Probability For Engineers Solution Montgomer
Sustainability Free Full Text Risk Perceptions Of Airbnb Hosts
Applied Statistics In Business And Economics
Http Dl Booktolearn Com Ebooks2 Science Statistics 9781119409533 Applied Statistics And Probability For Engineers 7th Eece Pdf
Maynard S Industrial Engineering Handbook Fifth Edition Mcgraw
Applied Statistics And Probability For Engineers Solutions Manual

Random Posts

  • 6 Mb Pdf File
  • 2006 Chevy Colorado Thermostat Pdf
  • Basic Plus Safety Training Houston Pdf
  • Answers To Investigations Manual Ocean Studies Pdf
  • Biesse Rover Programming Manual Pdf
  • A Global Testimony Six Pdf
  • Automotive Technology Pearson Chapter Quiz Answers Pdf
  • Alice Programming Exercise Solutions Pdf
  • 98 Ford Expedition Repair Manual Pdf
  • Accounting Governmental Nonprofit Entities Jacqueline Pdf
Dmca Contact Privacy Policy Copyright