EbookFree
  • Dmca
  • Contact
  • Privacy Policy
  • Copyright

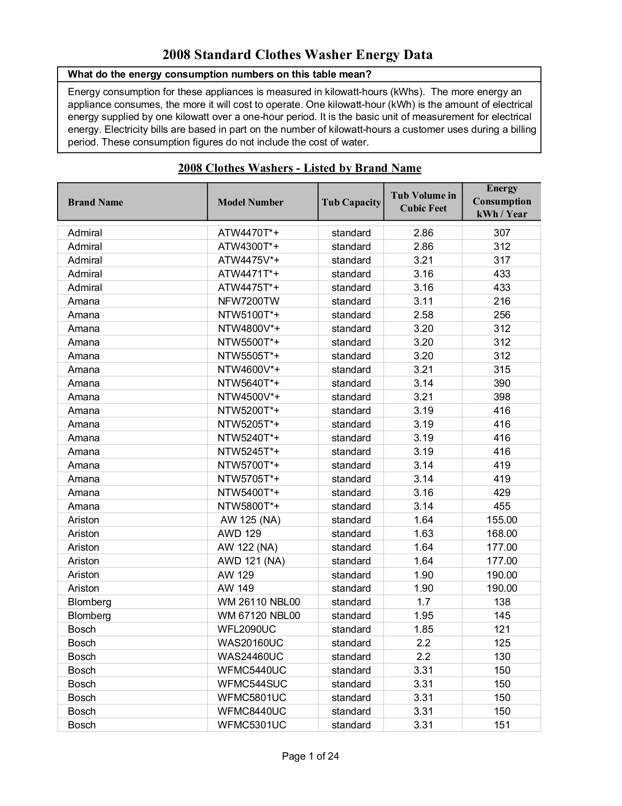
Ariston Awd 129 Na 42206 Pdf

Https Www Cnet Com News Sprint Unveils Red Lg Lotus 2009 04

Https Www Cnet Com News Sprint Unveils Red Lg Lotus 2009 04

How To Change A Ariston Washing Machine Door Lock Interlock Youtube

How To Change A Ariston Washing Machine Door Lock Interlock Youtube

Https Publications Jrc Ec Europa Eu Repository Bitstream Jrc114329 Jrc114329 Task 3 Durability Final V3 0 Pdf

Https Publications Jrc Ec Europa Eu Repository Bitstream Jrc114329 Jrc114329 Task 3 Durability Final V3 0 Pdf

Ariston Aml 125 Instructions For Use Manual Pdf Download Manualslib

Ariston Aml 125 Instructions For Use Manual Pdf Download Manualslib

Ariston Awd 120 Manuals Manualslib

Ariston Awd 120 Manuals Manualslib

Https Www Taxadvisor Lk Data Uploads Inactive Vat List W E F 20 01 2020 Pdf
1995 Chevrolet 1500 Wiring Diagram Telecharger Wiring Diagram
Https Encrypted Tbn0 Gstatic Com Images Q Tbn 3aand9gctgjjbccb Lw9lyhz2 5pwxssqqygq06patqcxqzni Usqp Cau
Pdf Document Manualzz
Commercial Code Pdf Free Download
Ariston Arwxf129w Washer Manual
Armf125 Specification Sheet Washing Machine Electrical Engineering
Download Free Pdf For Lg Wm2487h Washer Manual
Http Www Splendide Com Arwxf129w Iom English Pdf
Ariston Aw120 Instructions For And Use Manuals Manualslib
Feedback All Items
Http Countyjournal Org Clients Countyjournal July182019 Pdf
Ad2 Ariston Aml 125 Manuals Pdf Wiring Library
Pdf Manual For Ariston Dryer Asl 75 Cxs Na
Http Oaklandcountyhistory Org Awweb Pdfopener Md 1 Did 112147
Http Www Burmalibrary Org Docs16 Mt695 Red Op En Pdf
2010 Ford Fusion Fuse Diagram Radio Iosluchtu Diagram Radio
Tradertag Victoria Edition 48 2014 By Tradertag Design Issuu
Commercial Code Pdf Free Download
Rev Wiring Diagram Wiring Diagram
Http Www Burmalibrary Org Docs16 170072957 201335696 Pdf
Ariston Aw 120 Repair Manual Pdf Download Manualslib
Http Www Westlandsales Com Ariston Parts Breakdowns Combos Awd129na Partdiagschem Pdf
Optimus 14 1180 User Manual Scaricare User Manual Diagram
Commercial Code Pdf Free Download
Spare Parts List Household Washing Machines Pnc Elc Brand Model
Pdf Gabapentin For Neuropathic Pain An Application To The 21st
Ariston Awd129na Washer Dryer Combo Manual Coin Trap Washing
Galls St110 Wiring Diagram Wiring Diagram
How To How To Use The Washing Machine Youtube
Commercial Code Pdf Free Download
Feedback All Items
Http Www Guaranteedparts Com Picture Library Ariston Ariston Washer Dryer 20combo Awd129na Pdf
Download 1939 Chevy Wire Diagram Wire Diagram
Http Www Champnews Com Papers Pdf S2115 Pdf
Ariston Washing Machine Manual Pdf
Https 939c9b01811224bb3dcf D6f090436a6f3838a347f2f22505b78d Ssl Cf5 Rackcdn Com Uploads Editions 4334 Original 6eee77da72982bb33bd275bd99dc35f3b4cab21b Pdf
Suihe Other Items For Sale 11 Listings Tractorhouse Com Page
Http Www Champnews Com Papers Pdf W1315 Pdf
Ariston Washer Dryer Combo Manual
Http Www Stonebridgepress Com Pdf Bla 2013 10 25 Pdf
Philips Dvp5982 User Manual Scaricare User Manual
Rosewill Rnwa Poe 100 User Manual Ke Stazeni User Manual
Ariston Aw 125 Manuals Manualslib
Http Www Westlandsales Com Ariston Service Manuals Washers Aw129 49 Svcman Pdf
Uv3w95cjrkc5cm
Pdf Archive Easyloanswithbadcredit Tk Pdf Free Download
Https Nickelsworth Com Media Pdf Files 5 18 Full Pdf
Http Warburg Sas Ac Uk Pdf Ekh100b2390732v3 Pdf
Arwdf129sna Summit Appliance
Emerson Orientalism Pdf Cindygame Com Pages 1 12 Text
Kugellager 6204 Zz Ntn Snr Aeg Electrolux Juno Zanussi Indesit
Ariston L63 Repair Manual
Pdf Manual For Ariston Dryer Asl 75 Cxs Na
Http 209 212 22 88 Data Rbr 1960 1969 1963 1963 11 21 Pdf
Https Encrypted Tbn0 Gstatic Com Images Q Tbn 3aand9gcrzzrmp3bcjvnhh 4f7ixeoyal Ykvxpwlaqdswbmslakj5tixk Usqp Cau
Http Theitem Com Uploads Files A273d42df9 Pdf
Http Ufdcimages Uflib Ufl Edu Aa 00 01 66 16 01665 12 19 2017 Pdf
Https Docs Daviecountync Gov Weblink 1 Edoc 113012 01 January Pdf
County Hidalgo Manualzz
Https Ryanfb Github Io Loebolus Data L225n Pdf
Ariston Washer Dryer Manuals Guidessimo Com
Awd129 Summit Appliance
2019 Ford Everest 2 0 Litre V 3 2 Litre Comparison Caradvice
Https Novapublishers Com Wp Content Uploads 2018 09 Catalog 2018 St Pdf
05 Chevy Wiring Diagram Wiring Diagram
Http Www Champnews Com Papers Pdf K2915 Pdf
Ariston Margherita Awd 12 Manuals Manualslib
Ariston Awd 121 Manuals Manualslib
Http Www Champnews Com Papers Pdf A3315 Pdf
Whirlpool Aqxxmd 129 Ag User Manual Download Owenrs Manual Pdf
Https Encrypted Tbn0 Gstatic Com Images Q Tbn 3aand9gctfyljmurytsras1hb Kkqfiosqapu Qyhqfpk9jxsw7jm3edar Usqp Cau
Ariston Fault Codes All Models 1 Switch Dishwasher
Commercial Code Pdf Free Download
M2618 By Champion Newspapers Issuu
Solved F13 Error Code On Ariston Washer Dryer Combo Fixya
Ariston Awd121na User Manual Ariston Aw122na Awd121na Awd10uk
Http Www Westlandsales Com Ariston Service Manuals Washers Aw120 22 25 Awd120 21 29 Svcman Pdf
Solved Hello I Have Ariston Aqualtis Aqxl 105 Washing Machine
Free Download Ariston Awd 129 Service Manual Manuals Technical
Ariston Avd 109 Manually
Crf230f Wiring Diagram Descargar Wiring Diagram
Http Www Melroseparkmemories Org Newspaper Sites Default Files 19591029red Pdf
Http Www Melroseparkmemories Org Newspaper Sites Default Files 19660303red Pdf
Ariston 2 In 1 Washer Dryer Instruction Video Youtube
Ariston Awd 129 Manuals Manualslib
Ariston Aw122 Manuals Manualslib
Http Www Villagernewspapers Com Pdf Spe 2014 05 30 Pdf
Yz1uxqe2thmz1m
Https Journals Sagepub Com Doi Pdf 10 1177 002034836317800164
Http Ufdcimages Uflib Ufl Edu Aa 00 01 66 16 01675 12 29 2017 Pdf
Https Azslide Com Orgao Oficial Do Municipio Uberaba 04 De Fevereiro De 2015 Ano 21 N 1263 59f3806c1723dd86eb2bd881 Html
Https Ryanfb Github Io Loebolus Data L211 Pdf
Https Www Clearygottlieb Com Media Organize Archive Cgsh Files 2017 Publications Cleary Gottlieb Public Bids And Squeezeouts In Germany A Statistical Survey 20022016 Final Pdf
Ariston L63 Ll64 Ll65 Li670 Li640 Li700 Asl65vxs Na Asl75vxs Na
Washing Ariston Avd 109 Youtube
Emerson Orientalism Pdf Cindygame Com Pages 1 12 Text
Read Double Edged Sword The Promises And Risks Of The Genetic

Random Posts

  • Acidity Of Beverages Pre Lab Answers Pdf
  • Bentley Navigator User Guide Pdf
  • 2003 Audi Allroad Quattro 2 5 Tdi Manual Pdf
  • Applied Sprint Training James Smith Pdf
  • International Dt466 Repair Manual Pdf
  • Arctic Cat Manx 340 Specs Pdf
  • Yamaha Rx V371 Service Manual Pdf
  • Auto Inspection Sheet Pdf
  • Agendas Alternatives And Public Policies Pdf
  • Statistics For Managers 7th Edition Pdf
Dmca Contact Privacy Policy Copyright