EbookFree
  • Dmca
  • Contact
  • Privacy Policy
  • Copyright

Biltrite Bicycles Audit Case Solution Pdf

Accounting Catalog Pdf Free Download

Accounting Catalog Pdf Free Download

Dn1212 Ezine Compressed Eljqokjxmw41

Dn1212 Ezine Compressed Eljqokjxmw41

Acc 604 Module 6 7 Pdf Brony U2019s Bikes Practice Case Module

Acc 604 Module 6 7 Pdf Brony U2019s Bikes Practice Case Module

2

2

75ce Integrated Audit Practice Case Solution Manual Wiring Library

75ce Integrated Audit Practice Case Solution Manual Wiring Library

2
Accounting Catalog Pdf Free Download
Https Hostnezt Com Cssfiles Accounting Auditing 206th 20ed 20by 20larry 20e 20rittenberg Pdf
Peach Blossom Cologne Company Solutions Free Available Pdfpea
Https Www Tamuracorp Com En Csr Report Pdf Csr 2017en Pdf
Accounting Catalog Pdf Free Download
Pcmly9ytsz3ksm
Https Www Tamuracorp Com En Csr Report Pdf Csr 2017en Pdf
Solution Acct604 Brony S Bicycle Case Studypool
Accounting Catalog Pdf Free Download
2
2
Biltrite Module Iii Biltrite Bicycles Inc Module Iii Control
75ce Integrated Audit Practice Case Solution Manual Wiring Library
Auditing 9781305080577 Cengage
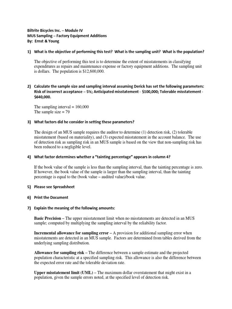
Biltrite Module Iv Risk Sampling Statistics Free 30 Day
Daftar Buku2 Kuliah
Who S Who In Plastics And Polymers Pdf Free Download
Af Form 1206 Fill Online Printable Fillable Blank Pdffiller
Calameo Azure July August 2017
Https Restructuring Primeclerk Com Sears Home Downloadpdf Id1 Mtezmzkw Id2 0
Portfolio Project Docx Biltrite Bicycle Audit Case Frances Brown
Biltrite Module Iv Sampling Statistics Audit
Solution Acct604 Brony S Bicycle Case Studypool
Https Restructuring Primeclerk Com Sears Home Downloadpdf Id1 Mtezmzkw Id2 0
Https Catalystlitigation Com Wp Content Uploads Case 203 2016 Catalyst V Many Defendants Motions West Face Motion Record Filed 14 February 2017 Motion 20record 20of 20the 20defendant 20west 20face 20capital 20inc 20 20volume 205 Pdf
Auditing 9781305080577 Cengage
Wps En5zrmd3xxno
Auditing 9781305080577 Cengage
Auditing 9781305080577 Cengage
Http Pdf 101com Com Cpmmag 2014 701920699 Cpm 1409dg Pdf
Http Www Digifind It Com Metuchen Data Recorder 1974 1974 09 04 Pdf
Fespa World Issue 47 English By Fespa Issuu
2
Georgia 2012 Excavators Pdf Pipeline Association For Public
Biltrite Module V Biltrite Bicycles Inc Module V Accounts
Pdf Business Accounting Gayathri Devi Academia Edu
2
Rittenberg Solution Manual For Auditing Rittenberg Solution
Http Oer Iain Padangsidimpuan Ac Id Files Original 3e362ca52febafd848529940763d9662 Pdf
2
Auditing 9781305080577 Cengage
Trademarks Journal Vol 67 No 3414
Auditing 9781305080577 Cengage
Pdf Financial Accounting Pdf Viswanathan Koduru Academia Edu
Peach Blossom Cologne Company Solutions Free Available Pdfpea
Solution Acct604 Brony S Bicycle Case Studypool
Auditing 9781305080577 Cengage
Daftar Buku2 Kuliah
2
Https Hostnezt Com Cssfiles Accounting Auditing 206th 20ed 20by 20larry 20e 20rittenberg Pdf
Https Www Ipoint Systems Com Fileadmin Media Resources Ca Tisca V 25 S Pdf
Accounting Catalog Pdf Free Download
Aboutthe Author Sidney M Levy Is An Independent
Illinois 2013 Excavators Pdf Pipeline Association For Public
Download The Camp Fires Of The Everglades By Charles Edward
Https Www Ci Greenfield Wi Us Documentcenter View 612 Common Council Regular Meeting Minutes 2009 Pdf
2
4 Prepared By Biltrite Bicycles Inc Date Inventory Cutoff Reviewed
Portfolio Project Docx Biltrite Bicycle Audit Case Frances Brown
Https Hostnezt Com Cssfiles Accounting Auditing 206th 20ed 20by 20larry 20e 20rittenberg Pdf
Rittenberg Solution Manual For Auditing Rittenberg Solution
75ce Integrated Audit Practice Case Solution Manual Wiring Library
Portfolio Project Docx Biltrite Bicycle Audit Case Frances Brown
Daftar Buku2 Kuliah
Fastener Fixing Magazine 120 By Fastener Fixing Magazine Issuu
Https Www Ipoint Systems Com Fileadmin Media Resources Ca Tisca V 25 S Pdf
Signs Of The Times December 2011 By Patricia Mcguinness Issuu
Portfolio Project Docx Biltrite Bicycle Audit Case Frances Brown
2
2
Wis Hiliter 7 9 14 Reduced By Edward Nadolski Issuu
Pcmly9ytsz3ksm
75ce Integrated Audit Practice Case Solution Manual Wiring Library
Journal 2325 Patents Office Manualzz
Pdf 4 Audit Risk Business Risk And Audit Planning Zhenli Ge
Biltrite Module Iii Biltrite Bicycles Inc Module Iii Control
Http Site Iugaza Edu Ps Kshaath Files 2010 10 Project Management In Construction Pdf
Iu4kdd3uwivmhm
Download Arens Integrated Audit Practice Case Solution Mobi User
2
2
Peach Blossom Cologne Company Solutions Free Available Pdfpea
Sample Engagement Letter Financial Audit Internal Control
Http Www Mhic Com Annualreports 2017 20annual 20report Pdf
Daftar Buku2 Kuliah
Auditing 9781305080577 Cengage
2
Http Bowe Cc Techlib Pdf Fcw Floor Covering Weekly Vol67 No29 1548361839 Pdf
Portfolio Project Docx Biltrite Bicycle Audit Case Frances Brown
2
Best Read Pinnacle Manufacturing Auditing Case Solution Doc
2
Download A Computerized Audit Practice Case
2

Random Posts

  • Art Forms And Civic Life In The Late Roman Empire Pdf
  • A Three Pipe Problem Pdf
  • 2001 Mitsubishi Canter 4x4 Pdf
  • 98 Grand Prix Repair Manual Pdf
  • 2005 Suzuki Katana Service Manual Gsx750f Pdf
  • 2012 Hyundai Elantra Owners Manual Car Owners Manual Online Pdf
  • Algebraic Codes For Data Transmission Solution Pdf
  • 100 Bullshit Jobs And How To Get Them Pdf
  • Aircraft Flight Manuals Casa 235 Pdf
  • Ademco Alarm System Manual M6673 N5976v2 Pdf
Dmca Contact Privacy Policy Copyright